Un conversor buck é un circuíto importante usado para reducir a tensión de forma segura e eficiente.Axuda a que moitos dispositivos electrónicos funcionen co nivel de potencia adecuado sen desperdiciar moita enerxía.Para entendelo ben, é útil coñecer as súas partes, tipos, modos de traballo, beneficios, usos e problemas comúns.
Catálogo

Figura 1. Convertidor Buck
Un conversor buck é un circuíto que reduce a tensión dun nivel superior a un nivel inferior.Funciona acendendo e apagando a enerxía moi rápido, almacenando enerxía e suavizándoa para obter unha saída constante.Isto fai que sexa eficiente, polo que non desperdicia moita enerxía nin crea moita calor.É por iso que úsase en cousas como cargadores de teléfonos, portátiles e fontes de alimentación.

Figura 2.Principais compoñentes dun conversor Buck
• Interruptor (transistor) → Isto acende e apaga a enerxía moi rápido, controlando a cantidade de enerxía que se envía á saída.
• Diodo → Isto proporciona un camiño para que a corrente siga fluíndo cando o interruptor está apagado, evitando interrupcións.
• Indutor → Isto almacena enerxía cando o interruptor está acendido e soltaa cando o interruptor está apagado, axudando a baixar e suavizar a tensión.
• Capacitor → Isto suaviza as ondulacións de tensión e proporciona unha tensión de saída constante.
• Controlador → Isto controla o tempo de conmutación e axústao para manter a tensión de saída estable e constante.

Figura 3. Convertedor Buck non síncrono
Usa un díodo para transportar corrente cando o interruptor está apagado, o que fai que sexa sinxelo e de baixo custo pero menos eficiente debido á caída de tensión do díodo que causa perdas de calor, especialmente a correntes máis altas.

Figura 4. Convertidor Buck síncrono
Usa dous transistores en lugar dun díodo, mellorando a eficiencia e reducindo a calor xa que o MOSFET ten menores perdas de condución, aínda que require circuítos de control máis complexos.

Figura 5. Modo de condución continua (CCM)
A corrente do indutor nunca cae a cero, o que resulta nunha saída máis suave, unha ondulación máis baixa e unha mellor eficiencia en cargas medias a altas, pero que requiren indutores máis grandes.

Figura 6. Modo de condución discontinua (DCM)
A corrente do indutor cae a cero durante parte do ciclo, o que é axeitado para cargas lixeiras e permite compoñentes máis pequenos pero aumenta a ondulación de saída e as perdas de conmutación.

Figura 7. Convertedor Buck multifásico
Utiliza varias fases do conversor que traballan xuntas para compartir corrente, reducir a ondulación da tensión, mellorar o rendemento térmico e xestionar aplicacións de alta potencia.

Figura 8. Convertedor Buck illado
Proporciona illamento eléctrico entre a entrada e a saída mediante un transformador, mellorando a seguridade e a inmunidade ao ruído pero aumentando a complexidade, o tamaño e o custo.

Figura 9. Convertedor Buck non illado
Comparte o mesmo terreo entre entrada e saída, polo que é o deseño máis sinxelo, eficiente e amplamente utilizado nos dispositivos electrónicos cotiáns.

Figura 10.Diagrama do circuíto do convertidor Buck
Un circuíto conversor buck reduce a tensión de entrada (Vin) a unha tensión de saída máis baixa (Vout) cambiando rapidamente un transistor (Q1/MOSFET) on e off, que controla a cantidade de enerxía que se entrega á carga.Cando o interruptor está ON, a corrente flúe dende a entrada a través do inductor (L), almacenando enerxía e subministrando a carga, mentres que cando o interruptor se apaga, o diodo proporciona un camiño para que a corrente continúe circulando, evitando a interrupción.
O indutor libera entón a súa enerxía almacenada, mantendo o fluxo de corrente e o condensador (C) suaviza as flutuacións de tensión para producir unha saída de CC estable.A controlador
axusta continuamente o ciclo de traballo de conmutación do transistor para manter a tensión de saída constante a pesar dos cambios na tensión de entrada ou na carga, facendo que o sistema sexa eficiente e fiable para a conversión de enerxía reducida.
Tensión de saída (Vout)

• Vfóra: Tensión de saída
• Ven: Tensión de entrada
• D: Ciclo de traballo (relación entre o tempo de ON e o período total de conmutación)
A tensión de saída é igual á tensión de entrada multiplicada polo ciclo de traballo, onde D é a fracción de tempo en que o interruptor está ON.
Ciclo de traballo (D)

O ciclo de traballo representa o tempo que permanece activado o interruptor en comparación co período total de conmutación.
Tensión do indutor (estado ON)

Cando o interruptor está en ON, o indutor almacena enerxía xa que a voltaxe é a diferenza entre a entrada e a saída.
Tensión do indutor (estado OFF)

Cando o interruptor está apagado, o indutor libera enerxía á carga, provocando unha tensión negativa a través dela.
Onda de corrente do indutor

• L: Inductancia
• f: Frecuencia de conmutación
A ondulación na corrente do indutor depende da tensión de entrada, ciclo de traballo, inductancia e frecuencia de conmutación.
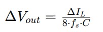
Ripple da tensión de saída (aproximada)

C: Capacidade de saída
A ondulación da tensión de saída depende da ondulación da corrente do indutor, da frecuencia de conmutación e da capacidade de saída.
• Alta Eficiencia – Converte a tensión con moi pouca perda de enerxía, polo que a maior parte da potencia de entrada entrégase á saída en lugar de desperdiciala.
• Baixa xeración de calor – Produce menos calor porque evita a perda de enerxía, o que reduce a necesidade de grandes sistemas de refrixeración.
• Aforro de enerxía – Utiliza menos enerxía eléctrica durante o funcionamento, contribuíndo a reducir o consumo de enerxía.
• Tamaño compacto – Os compoñentes máis pequenos e menos calor permiten construír o circuíto nun tamaño compacto.
• Amplia aplicación – Úsase en moitos dispositivos como cargadores de teléfonos, portátiles e circuítos electrónicos para unha fonte de alimentación fiable.
• Mellor rendemento – Proporciona unha tensión de saída estable e estable mesmo cando cambia a tensión de entrada ou a carga.
• Maior duración da batería – Axuda a que as baterías duren máis ao usar a enerxía de forma máis eficiente nos dispositivos portátiles.
• Control flexible – A tensión de saída pódese axustar facilmente cambiando o ciclo de traballo de conmutación.

Figura 11.Convertidor Buck Vs Regulador Lineal
Característica
|
Buck
Conversor
|
Lineal
Regulador
|
Eficiencia
|
Alta eficiencia (a miúdo 80-95%)
porque transfire enerxía en lugar de desperdiciala
|
Baixa eficiencia por exceso
a tensión pérdese como calor
|
Xeración de calor
|
Produce menos calor debido ao mínimo
perda de enerxía
|
Produce calor importante,
especialmente con grandes caídas de tensión
|
Método de traballo
|
Usa conmutación de alta velocidade,
indutor e capacitor para baixar a tensión
|
Reduce a tensión por disipación
enerxía extra como calor
|
Complexidade
|
Máis complexo con múltiples
compoñentes e circuítos de control
|
Deseño sinxelo con menos
compoñentes
|
Tamaño
|
Compacto en xeral pero pode ser necesario
pezas adicionais como indutores e capacitores
|
Moi pequeno e sinxelo con
compoñentes externos mínimos
|
Custo
|
Maior custo debido a máis
compoñentes e complexidade do deseño
|
Menor custo e fácil de implementar
|
Ruído de saída
|
Xera ruído de conmutación e
ondulación, pode necesitar filtrado
|
Baixo ruído e saída suave
tensión
|
• Fontes de alimentación
Úsase para converter a alta tensión en niveis máis baixos nas unidades de alimentación para un funcionamento seguro e estable dos dispositivos.
• Dispositivos alimentados por batería
Úsase en teléfonos, tabletas e dispositivos electrónicos portátiles para utilizar de forma eficiente a enerxía da batería e prolongar a súa duración.
• Sistemas informáticos e portátiles
Úsase nas placas base para subministrar diferentes tensións necesarias aos procesadores, á memoria e a outros compoñentes.
• Controladores LED
Úsase para proporcionar tensión e corrente estables aos LED, garantindo un brillo adecuado e unha vida útil máis longa.
• Sistemas de automoción
Úsase en vehículos para reducir a tensión da batería de produtos electrónicos como sensores, pantallas e unidades de control.
• Sistemas de enerxía solar
Úsase para regular e reducir a tensión dos paneis solares para cargar baterías con seguridade.
• Sistemas embebidos
Úsase en microcontroladores e circuítos electrónicos para proporcionar unha baixa tensión constante para un bo funcionamento.
• Equipos de telecomunicacións
Úsase para subministrar enerxía estable e eficiente a dispositivos de comunicación e sistemas de rede.
Ripple da tensión de saída
A tensión de saída pode ter pequenas flutuacións debido a un filtrado insuficiente ou a un capacitor de baixo valor.
Ruído de conmutación
A conmutación a alta velocidade pode crear ruído eléctrico que pode afectar os circuítos sensibles próximos.
Sobrequecemento
Compoñentes como o transistor ou o díodo poden quentar se hai grandes perdas ou un arrefriamento deficiente.
Saturación do indutor
O indutor pode perder a súa capacidade de almacenar enerxía correctamente se a corrente supera o seu límite nominal.
Eficiencia pobre
As perdas de enerxía poden aumentar se os compoñentes non se elixen correctamente ou se non se optimiza o deseño.
Tensión de saída inestable
A tensión de saída pode variar se o sistema de realimentación ou control non está configurado correctamente.
Interferencia electromagnética (EMI)
O cambio rápido pode xerar interferencias que afectan a outros dispositivos electrónicos.
Fallo de compoñentes
As pezas como os capacitores ou os interruptores poden fallar debido á alta temperatura, picos de tensión ou tensión a longo prazo.
Un conversor buck é unha forma útil e eficiente de reducir a tensión en moitos sistemas electrónicos.Coñecendo os seus compoñentes, tipos, funcionamento, vantaxes e problemas comúns, faise máis doado escoller o correcto e utilizalo correctamente en aplicacións reais.
Comparte esta publicación